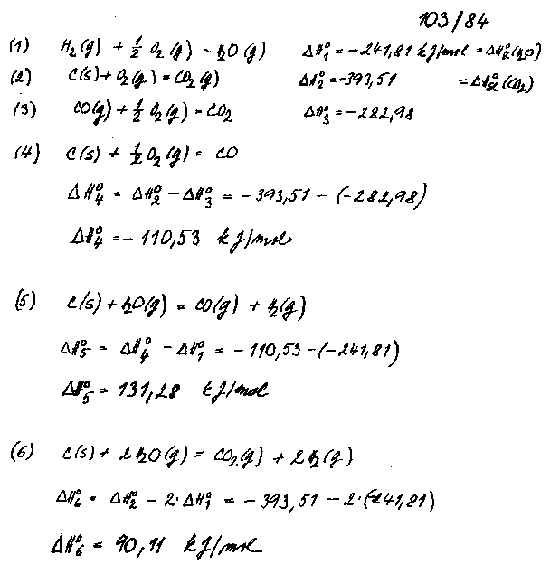
Kapitola 3 příklad 103